四川省索玛慈善基金会

信息公开

首页 信息公开 月度简报

2025年9月简报

发布时间 2025-10-17 丨 来源:四川省索玛慈善基金会 丨 浏览量 13

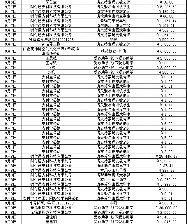
本月累计捐赠总收入4726205.01元,本月累计善款支出1972746.83元

各项目概况:

 

【索玛花支教项目】

在任教师63名,教授学生940人;


【索玛生活教育项目】

在任老师6名,服务学生2997人;

 

【爱心助学项目】

本期受助学生共计588人。


【儿童医疗救助项目】

累计救助203人,7名在救助学生;


【阳光早餐项目】

目前开餐学校9所,受惠学生1160人;

收入.png

支出.png

36.png

37.png

38.png

39.png

40.png

41.png

42.png

43.png

44.png

45.png

46.png

47.png

48.png

49.png

50.png

1.png

2.png

3.png

4.png

5.png

6.png

7.png

8.png

9.png

10.png

11.png

12.png

13.png

14.png

15.png

16.png

17.png

18.png

19.png

20.png

21.png

22.png

23.png

24.png

25.png

26.png

27.png

28.png

29.png

30.png

31.png

32.png

33.png

34.png

35.png